基于虛擬多傳感器信息融合的糧情預警系統
作者:于心俊 喬瑞林 王艷芳
來源:自動化與信息工程
日期:2009-12-07 10:53:52
摘要:糧食在貯藏過程中,會因為受溫度、濕度、氧氣、微生物及昆蟲等因素的影響,而造成其質量的不良變化。對糧食貯藏過程中的影響參數進行實時監測、分析是保障糧食儲存品質的有效手段。本文通過采用虛擬多傳感器信息融合技術對糧食儲藏過程中的糧情變化進行實時跟蹤分析,當糧食出現霉變、蟲害等不良變化時,系統能及時發出預警信息,確保儲糧安全。
1 引言
糧食在貯藏過程中,會因為受溫度、濕度、氧氣、微生物及昆蟲等因素的影響,而造成其質量的不良變化。對糧食貯藏過程中的影響參數進行實時監測、分析是保障糧食儲存品質的有效手段。本文通過采用虛擬多傳感器信息融合技術對糧食儲藏過程中的糧情變化進行實時跟蹤分析,當糧食出現霉變、蟲害等不良變化時,系統能及時發出預警信息,確保儲糧安全。
2 虛擬多傳感器
虛擬多傳感器是對一個傳感器所獲的數據采用不同的信息處理算法進行變換、特征提取, 得到具有不同特征的信息,將這些信息進行融合得到更加可靠準確的信息。其最大的特點就是信息冗余、信息互補和信息實時。其優點就是能減少數據量及其計算量,提高信息的準確性。在糧食儲藏過程中,通過溫濕度傳感器、高清晰圖像傳感器得到糧食及環境的溫濕度和圖像信息,對所獲得的溫濕度、圖像信息采用不同的信息處理算法進行變換和特征提取,得到具有不同特征信息的虛擬溫濕度、圖像傳感器數據,然后利用(Dempester-Shafer;D-S)證據理論將這些信息進行融合,可以得到在糧食儲藏過程中糧情的變化過程。其虛擬多傳感器信息融合過程如圖1所示。
2.1 溫濕度信度變換
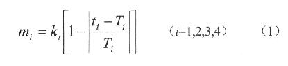
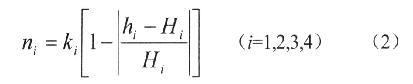
對實時采集到的實際溫度值t1,采用(1)式得到溫度的信度值m1;糧食溫度與倉溫的差值的信度值m2,糧食溫度與平均溫度的差值的信度值m3,糧食溫度梯度變化的信度值m4;實時采集到的實際濕度值h1,采用(2)式得到濕度的信度值n1;糧食濕度與倉濕的差值的信度值n2,糧食濕度與平均濕度的差值的信度值n3,糧食濕度梯度變化的信度值n4。
式中:Ti一經驗值;ki一加權系數;ti=1一溫度值。ti=2一糧食溫度與倉溫的差值。ti=3一糧食溫度與平均值的差值。ti=4一糧食溫度梯度值。
式中:Hi一經驗值;ki—加權系數;hi=1一濕度值。hi=2一糧食濕度與倉濕的差值。hi=3一糧食濕度與平均值的差值。hi=4一糧食濕度梯度值。
2.2 圖像特征提取
圖像的特征提取,通過對目標圖像與源圖像進行RGB顏色的相似度、區域面積的相似度、紋理特征相似度的分析,得到糧情變化的情況。
RGB顏色的相似度分析。對于圖像的顏色用直方圖可以表示為式(3):
其中:A、B、C分別表示所有像素中三基色(RGB)所占的比例。N表示圖像像素數。所得到RGB圖像(又稱真彩色圖像)是以m×n×3的3D矩陣的方式存儲,分別定義了m×n圖像的每個像素中所包含三基色各自的強度。因此RGB直方圖是對“色階一像素數”的歸一化統計結果。
對目標圖像和源圖像的直方圖統計結果,可認為是矢量。比較兩幅圖像的顏色相似度,可轉化為對矢量空間中兩個點空間距離的計算。計算方法可以采用式(4)歐幾里德距離(euclidean distance)。
其中:h和g分別代表兩幅圖像的顏色直方圖。
小麥圖片RGB顏色的相似度的提取如圖2所示。
通過對糧食顆粒的灰度圖像進行紋理分析,獲得與結構相關的灰度分布的統計信息,可以實現對兩幅圖像的匹配分析,并作為判斷糧情變化的依據。對糧食顆粒灰度圖像的分析采用基于不變矩的圖像紋理的統計算法。該算法首先將原始圖像進行分塊,利用加窗傅立葉變換進行空域濾波增強,去除圖像在各個空間頻率處的噪聲,增強圖像中的紋理結構信息。然后選擇圖像中曲率最大的點進行特征提取,以提取的特征點為中心,對圖像進行局部的網格化處理,針對每個單元格計算其7個不變矩,對所有單元格各自的不變矩求和得到特征向量。同時借助最大類間方差閾值分割方法(OTSU),將圖中的單元格區分為前景和背景,并在求和時賦予不同的權重,可進一步提高圖像匹配的精度。小麥圖像紋理特征提取過程如圖4所示。最后利用特征空間中兩特征向量間的距離作為相似度衡量的標準。可采用余弦距離來表示。特征向量間余弦距離的定義為:設特征空間中兩特征向量分別為
3 信息融合
通過以上方法將溫濕度、圖像數據經過變換,得到具有不同特性的虛擬多傳感器信息。利用D-S證據理論進行信息融合,D-S證據理論是由Dempster提出來的用概率上下限來表示實際問題中的不確定性,后來通過ShaRer進一步發展成為系統化、理論化的不確定性推理理論。由于篇幅有限,在此只給出部分信息融合過程。
通過實際測量的數據,經過計算得到某一區域的四個虛擬傳感器信度值m1,m2,m3,m4如表l,用C表示可信度,N表示不可信度。
按照Dempster組合公式將m1和m2,m3和m4組合,結果如表2所示,其中φ表示空集。
由表2可以得到m1和m2,m3和m4兩個證據的不一致因子,分別用k1,k2表示。則kl,k2為:k1=0.236+0.125=0.361:k2=0.325+0.082=0.407計算得到兩個基本信度m1和m2融合后的基本信度分配(用m12表示),m3和m4融合后的基本信度分配(用m34表示)為:
最后再對得到兩個基本信度m12和m34融合,基本信度分配(用m1234表示),見表3。
則有:k=0.072+0.075=0.147
m1234(C)=0.847/(1-k)≈0.99
由結果可知,通過融合后糧情變化的基本信度為0.99,故可以明顯地判斷出該區域的糧情變化很大,發生霉變、蟲害的可能性較高。
4 結論
本文通過對小麥倉儲過程中的傳感器信息選取合適的特征和計算所對應的特征統計量,應用少量的傳感器,借助虛擬多傳感器的技術以及D-S證據理論融合算法,能夠在糧情監測中完成目標識別,并對小麥倉儲過程中所發生的不良變化,及時發出預警信息,以確保小麥儲藏安全。
糧食在貯藏過程中,會因為受溫度、濕度、氧氣、微生物及昆蟲等因素的影響,而造成其質量的不良變化。對糧食貯藏過程中的影響參數進行實時監測、分析是保障糧食儲存品質的有效手段。本文通過采用虛擬多傳感器信息融合技術對糧食儲藏過程中的糧情變化進行實時跟蹤分析,當糧食出現霉變、蟲害等不良變化時,系統能及時發出預警信息,確保儲糧安全。
2 虛擬多傳感器
虛擬多傳感器是對一個傳感器所獲的數據采用不同的信息處理算法進行變換、特征提取, 得到具有不同特征的信息,將這些信息進行融合得到更加可靠準確的信息。其最大的特點就是信息冗余、信息互補和信息實時。其優點就是能減少數據量及其計算量,提高信息的準確性。在糧食儲藏過程中,通過溫濕度傳感器、高清晰圖像傳感器得到糧食及環境的溫濕度和圖像信息,對所獲得的溫濕度、圖像信息采用不同的信息處理算法進行變換和特征提取,得到具有不同特征信息的虛擬溫濕度、圖像傳感器數據,然后利用(Dempester-Shafer;D-S)證據理論將這些信息進行融合,可以得到在糧食儲藏過程中糧情的變化過程。其虛擬多傳感器信息融合過程如圖1所示。

2.1 溫濕度信度變換
對實時采集到的實際溫度值t1,采用(1)式得到溫度的信度值m1;糧食溫度與倉溫的差值的信度值m2,糧食溫度與平均溫度的差值的信度值m3,糧食溫度梯度變化的信度值m4;實時采集到的實際濕度值h1,采用(2)式得到濕度的信度值n1;糧食濕度與倉濕的差值的信度值n2,糧食濕度與平均濕度的差值的信度值n3,糧食濕度梯度變化的信度值n4。

式中:Ti一經驗值;ki一加權系數;ti=1一溫度值。ti=2一糧食溫度與倉溫的差值。ti=3一糧食溫度與平均值的差值。ti=4一糧食溫度梯度值。

式中:Hi一經驗值;ki—加權系數;hi=1一濕度值。hi=2一糧食濕度與倉濕的差值。hi=3一糧食濕度與平均值的差值。hi=4一糧食濕度梯度值。
2.2 圖像特征提取
圖像的特征提取,通過對目標圖像與源圖像進行RGB顏色的相似度、區域面積的相似度、紋理特征相似度的分析,得到糧情變化的情況。
RGB顏色的相似度分析。對于圖像的顏色用直方圖可以表示為式(3):

其中:A、B、C分別表示所有像素中三基色(RGB)所占的比例。N表示圖像像素數。所得到RGB圖像(又稱真彩色圖像)是以m×n×3的3D矩陣的方式存儲,分別定義了m×n圖像的每個像素中所包含三基色各自的強度。因此RGB直方圖是對“色階一像素數”的歸一化統計結果。
對目標圖像和源圖像的直方圖統計結果,可認為是矢量。比較兩幅圖像的顏色相似度,可轉化為對矢量空間中兩個點空間距離的計算。計算方法可以采用式(4)歐幾里德距離(euclidean distance)。

其中:h和g分別代表兩幅圖像的顏色直方圖。
小麥圖片RGB顏色的相似度的提取如圖2所示。


通過對糧食顆粒的灰度圖像進行紋理分析,獲得與結構相關的灰度分布的統計信息,可以實現對兩幅圖像的匹配分析,并作為判斷糧情變化的依據。對糧食顆粒灰度圖像的分析采用基于不變矩的圖像紋理的統計算法。該算法首先將原始圖像進行分塊,利用加窗傅立葉變換進行空域濾波增強,去除圖像在各個空間頻率處的噪聲,增強圖像中的紋理結構信息。然后選擇圖像中曲率最大的點進行特征提取,以提取的特征點為中心,對圖像進行局部的網格化處理,針對每個單元格計算其7個不變矩,對所有單元格各自的不變矩求和得到特征向量。同時借助最大類間方差閾值分割方法(OTSU),將圖中的單元格區分為前景和背景,并在求和時賦予不同的權重,可進一步提高圖像匹配的精度。小麥圖像紋理特征提取過程如圖4所示。最后利用特征空間中兩特征向量間的距離作為相似度衡量的標準。可采用余弦距離來表示。特征向量間余弦距離的定義為:設特征空間中兩特征向量分別為

3 信息融合
通過以上方法將溫濕度、圖像數據經過變換,得到具有不同特性的虛擬多傳感器信息。利用D-S證據理論進行信息融合,D-S證據理論是由Dempster提出來的用概率上下限來表示實際問題中的不確定性,后來通過ShaRer進一步發展成為系統化、理論化的不確定性推理理論。由于篇幅有限,在此只給出部分信息融合過程。
通過實際測量的數據,經過計算得到某一區域的四個虛擬傳感器信度值m1,m2,m3,m4如表l,用C表示可信度,N表示不可信度。

按照Dempster組合公式將m1和m2,m3和m4組合,結果如表2所示,其中φ表示空集。

由表2可以得到m1和m2,m3和m4兩個證據的不一致因子,分別用k1,k2表示。則kl,k2為:k1=0.236+0.125=0.361:k2=0.325+0.082=0.407計算得到兩個基本信度m1和m2融合后的基本信度分配(用m12表示),m3和m4融合后的基本信度分配(用m34表示)為:

最后再對得到兩個基本信度m12和m34融合,基本信度分配(用m1234表示),見表3。
則有:k=0.072+0.075=0.147
m1234(C)=0.847/(1-k)≈0.99
由結果可知,通過融合后糧情變化的基本信度為0.99,故可以明顯地判斷出該區域的糧情變化很大,發生霉變、蟲害的可能性較高。
4 結論
本文通過對小麥倉儲過程中的傳感器信息選取合適的特征和計算所對應的特征統計量,應用少量的傳感器,借助虛擬多傳感器的技術以及D-S證據理論融合算法,能夠在糧情監測中完成目標識別,并對小麥倉儲過程中所發生的不良變化,及時發出預警信息,以確保小麥儲藏安全。