非接觸式RFID學生考勤系統的設計
作者:桑靜
來源:中國一卡通網
日期:2007-07-31 09:20:42
摘要:無線射頻識別技術(RFID)是一種非接觸式的自動識別技術,識別工作無須人工干預。將RFID應用于學生考勤系統,智能地實現對學生進行考勤、記錄。本文介紹學生考勤系統中的射頻卡基站芯片U2270B及其支撐電路的設計。
隨著電子信息技術的發展,智能卡(IC卡)已經在我們的生活中隨處可見。射頻識別卡(簡稱射頻卡、RFID卡)誕生于20世紀90年代初,正逐漸取代傳統的接觸式IC卡,成為智能卡領域的新潮流。RFID卡由于成功地結合射頻識別技術和IC卡技術,解決了無源(卡內無電池)和免接觸的難題,因此,具有磁卡和接觸式IC卡不可比擬的優點。RFID卡由IC芯片、感應天線組成,完全密封在一個標準PVC卡片中,無外露部分(見圖1)。在學生考勤系統的設計中,利用無線射頻識別技術(RFID),可實現對學生進行考勤、記錄等功能。
通過點名、磁卡和接觸式IC卡等方式對學生的到課情況進行考勤、記錄管理,既耗時又相互干擾;而非接觸式RFID學生考勤系統實現了利用無線射頻識別技術對學生考勤管理,既方便、快捷,又省時。學生考勤系統由應答器和閱讀器組成,其中應答器由標簽(即卡片)構成,閱讀器(讀卡器)由射頻卡基站芯片U2270B及其支撐電路、主控芯片MCU及其支撐電路和外圍接口電路(鍵盤、液晶、時鐘和串口模塊)構成(見圖2)。
2 射頻卡基站芯片U2270B及支撐電路的設計
U2270B芯片是ATMEL公司生產的基站芯片,是一個對IC卡進行讀寫操作的非接觸式工作基站,內部由振蕩器、天線驅動器、電源供給電路、頻率調節電路、低通濾波電路、高通濾波電路、輸出控制電路等部分組成,其內部結構見圖3。
U2270B基站的射頻頻率要求在100kHz一150kHz范圍內,在頻率為125kHz情況下標準的數據傳輸速率可以達到5000波特率,它可以采用曼徹斯特和雙相調制兩種方式。基站的工作電源可以是汽車電瓶或其他的5V 標準電源。U2270B具有可微調功能,與其它微控制器有很好的兼容接口,在低功耗模式下低能量消耗,并可以為IC卡提供電源輸出。
U2270B的射頻頻率是通過調整U2270B內部結構中的RF引腳所接電阻的大小,可以將內部振蕩頻率固定在特定的頻率上(典型為125kHZ),然后通過天線驅動器的放大作用,在天線附近形成特定頻率的射頻場,當應答器進入該射頻場內時,由于電磁感應的作用,在標簽內的天線端會產生感應電勢,該感應電勢也是標簽的能量來源。將數據寫入應答器是采用場間隙方式,即由數據的“0”和“1”控制振蕩器的啟振和停振,并由天線產生帶有窄間歇的射頻場,不同的場寬度分別代表數據“0”和“1”,這樣完成將基站發射的數據寫入標簽的過程,對場的控制可通過控制芯片的第6腳(CFE端)來實現。l_5 J由應答器返回的數據流可采用對應答器天線的負載調制方式來實現。應答器的負載調制會在基站天線上產生微弱的調幅,這樣,通過二極管對基站天線電壓的解調即可回收標簽調制的數據流。U2270B應用參考電路見圖4。
2.2.1 電源模塊
U2270B的Vs(電源)為內部電路提供電源,VEXT為天線和外部電路提供電壓。對于U2270B基站電源有三種設計模式:第一種是單電壓供電,即DVS、VEXT、VS、Ⅶ A1vr使用一個5V電源;第二種是雙電壓供電,即VS使用5V 電壓,DVS、VEXT、VBATT使用7V~8V 電壓;第三種是電池電壓供電,VEXT和VS由內部電池供給,DVS和VBATT使用7V~16V外部電壓,對于這種供電方式,U2270B的低功耗模式是可供選擇的。在學生考勤系統設計中采用的是第二種電源供給方案。
2.2.2 頻率設置
頻率指的是U2270B輸出的天線驅動頻率,而天線端子線圈的發射頻率最終是由線圈回路的電阻、電容來決定的,這個頻率越接近發射頻率,,則發射功率越強。U2270B的天線驅動頻率可自己設定,本設計設定的頻率是由流人RF端的電流值所決定的,而Vs是內部電源供給,所以可以通過改變Vs端和RF端之間的電阻值來進行設定。具體的計算公式如下:

經過計算,設定的電阻值分別為Rs=68Ω,R9 =43Ω,實現了射頻頻率為125kHz的目的。
2.2.3 天線模塊
U2270B關于天線部分只涉及到一個電容,一個電阻和線圈,但是對于各個器件的選值是比較精確的。
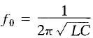
從U2270B的Coill和Coil2端口出來經過電容,電阻和線圈組成一個LC串聯諧振選頻回路,它的作用就是從眾多的頻率中選出有用信號,濾除或抑制無用信號。串聯諧振電路的諧振角頻率:

從而諧振頻率:

當從Coill、Coil2出來的脈沖滿足這一頻率要求后,串聯諧振電路就會起振,在回路兩端產生一個較高的諧振電壓: VL=QVs
其中Vs為U2270B的Coill、Coil2端的輸出電壓, 為線圈兩端的諧振電壓,一般可能在200V一350V之間,所以線圈兩端的電容耐壓值要高,熱穩定性要好,因此,對諧振回路的電容要求是比較高的,購買選擇時需要注意。當諧振電壓達到一定的值就會通過感應電場給應答器供電,當應答器進入感應電場范圍內,應答器內部電路就會在諧振脈沖的基礎上進行非常微弱的調幅調制,再由U2270B來讀取。其中Q為諧振回路的品質因數,它描述了回路的儲能與它的耗能之比:

在本設計中,應答器標簽的頻率為125kHZ,線圈的電感L約為1.35mH,這樣電容C的容值就可由上面的公式算出固定的值。另外可以通過調節電阻R(注意線圈也含有一定的電阻)來調節品質因數,從而改變諧振電壓來提高讀寫距離。
2.2.4 數據輸入
這里所講的數據輸入指的是U2270B從天線回路讀回的數據。
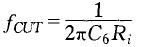
基站從應答器讀人的是經過載波調制后的信號,它通過C17電容耦合輸入到INPUT輸入端,經過低通濾波器,放大器,施密特觸發器等幾個環節后,在ourPUT端輸出解調后的信號。低通濾波器的截止頻率由fosc決定。INPUT管腳的耦合電容C7 以及HIPASS管腳的去耦電容C6 的值決定了解調電路的高通特性,有利于更進一步濾除無用及干擾信號。C6和C7 的值依射頻卡的數據傳輸波特率的不同而不同,本學生考勤系統采用的波特率為 focs/32,此時c6,C7 分別為100nF和680pF。
C6與下限截止頻率的關系如下:

式中:Ri=2.5Ω
需要注意的是OUTPUT端輸出的信號只是經過了解調,并沒有解碼。解碼任務要通過單片機編程來完成。
3 U2270B模塊軟件設計
U2270B模塊提供給高層調用的主要有4個子函數。
3.1 U2270B初始化函數
在U2270B的初始化工作中主要就是將U2270B必要的控制口打上滿足條件的電平,因為不是馬上就要開始解碼工作,所以同時也將U2270B停止工作。并且默認是125kHz的解碼。
3.2 U2270B停止工作函數
為低功耗和具體功能的考慮,只有在光敏電阻中斷被允許或按下“IRQ”鍵時才調用一次解碼函數,在其他情況下一般讓U2270B處于不工作狀態。
3.3 開啟U2270B函數
當開始上課按鈕有效時光敏電阻中斷被允許,或者利用“IRQ”按鈕使讀卡器從低功耗模式下被喚醒,U2270B處于工作狀態。
3.4 U2270B解碼函數
解碼部分完全由軟件程序來實現,通過輸入捕捉接受到的脈沖來進行解碼,這也是U2270B的不足之處。
4 結語
由于篇幅有限,文中不再對考勤系統閱讀器的主控芯片MCU及其支撐電路和外圍接口電路做具體介紹。從射頻識別卡的使用方便、交易速度快、便于維護和使用壽命較長等優點來看, 射頻識別卡正在各種場合逐漸替代目前廣泛使用的接觸式Ic卡,應用前景十分廣闊。

通過點名、磁卡和接觸式IC卡等方式對學生的到課情況進行考勤、記錄管理,既耗時又相互干擾;而非接觸式RFID學生考勤系統實現了利用無線射頻識別技術對學生考勤管理,既方便、快捷,又省時。學生考勤系統由應答器和閱讀器組成,其中應答器由標簽(即卡片)構成,閱讀器(讀卡器)由射頻卡基站芯片U2270B及其支撐電路、主控芯片MCU及其支撐電路和外圍接口電路(鍵盤、液晶、時鐘和串口模塊)構成(見圖2)。

2 射頻卡基站芯片U2270B及支撐電路的設計
U2270B芯片是ATMEL公司生產的基站芯片,是一個對IC卡進行讀寫操作的非接觸式工作基站,內部由振蕩器、天線驅動器、電源供給電路、頻率調節電路、低通濾波電路、高通濾波電路、輸出控制電路等部分組成,其內部結構見圖3。

U2270B基站的射頻頻率要求在100kHz一150kHz范圍內,在頻率為125kHz情況下標準的數據傳輸速率可以達到5000波特率,它可以采用曼徹斯特和雙相調制兩種方式。基站的工作電源可以是汽車電瓶或其他的5V 標準電源。U2270B具有可微調功能,與其它微控制器有很好的兼容接口,在低功耗模式下低能量消耗,并可以為IC卡提供電源輸出。
U2270B的射頻頻率是通過調整U2270B內部結構中的RF引腳所接電阻的大小,可以將內部振蕩頻率固定在特定的頻率上(典型為125kHZ),然后通過天線驅動器的放大作用,在天線附近形成特定頻率的射頻場,當應答器進入該射頻場內時,由于電磁感應的作用,在標簽內的天線端會產生感應電勢,該感應電勢也是標簽的能量來源。將數據寫入應答器是采用場間隙方式,即由數據的“0”和“1”控制振蕩器的啟振和停振,并由天線產生帶有窄間歇的射頻場,不同的場寬度分別代表數據“0”和“1”,這樣完成將基站發射的數據寫入標簽的過程,對場的控制可通過控制芯片的第6腳(CFE端)來實現。l_5 J由應答器返回的數據流可采用對應答器天線的負載調制方式來實現。應答器的負載調制會在基站天線上產生微弱的調幅,這樣,通過二極管對基站天線電壓的解調即可回收標簽調制的數據流。U2270B應用參考電路見圖4。

2.2.1 電源模塊
U2270B的Vs(電源)為內部電路提供電源,VEXT為天線和外部電路提供電壓。對于U2270B基站電源有三種設計模式:第一種是單電壓供電,即DVS、VEXT、VS、Ⅶ A1vr使用一個5V電源;第二種是雙電壓供電,即VS使用5V 電壓,DVS、VEXT、VBATT使用7V~8V 電壓;第三種是電池電壓供電,VEXT和VS由內部電池供給,DVS和VBATT使用7V~16V外部電壓,對于這種供電方式,U2270B的低功耗模式是可供選擇的。在學生考勤系統設計中采用的是第二種電源供給方案。
2.2.2 頻率設置
頻率指的是U2270B輸出的天線驅動頻率,而天線端子線圈的發射頻率最終是由線圈回路的電阻、電容來決定的,這個頻率越接近發射頻率,,則發射功率越強。U2270B的天線驅動頻率可自己設定,本設計設定的頻率是由流人RF端的電流值所決定的,而Vs是內部電源供給,所以可以通過改變Vs端和RF端之間的電阻值來進行設定。具體的計算公式如下:
經過計算,設定的電阻值分別為Rs=68Ω,R9 =43Ω,實現了射頻頻率為125kHz的目的。
2.2.3 天線模塊
U2270B關于天線部分只涉及到一個電容,一個電阻和線圈,但是對于各個器件的選值是比較精確的。
從U2270B的Coill和Coil2端口出來經過電容,電阻和線圈組成一個LC串聯諧振選頻回路,它的作用就是從眾多的頻率中選出有用信號,濾除或抑制無用信號。串聯諧振電路的諧振角頻率:

從而諧振頻率:

當從Coill、Coil2出來的脈沖滿足這一頻率要求后,串聯諧振電路就會起振,在回路兩端產生一個較高的諧振電壓: VL=QVs
其中Vs為U2270B的Coill、Coil2端的輸出電壓, 為線圈兩端的諧振電壓,一般可能在200V一350V之間,所以線圈兩端的電容耐壓值要高,熱穩定性要好,因此,對諧振回路的電容要求是比較高的,購買選擇時需要注意。當諧振電壓達到一定的值就會通過感應電場給應答器供電,當應答器進入感應電場范圍內,應答器內部電路就會在諧振脈沖的基礎上進行非常微弱的調幅調制,再由U2270B來讀取。其中Q為諧振回路的品質因數,它描述了回路的儲能與它的耗能之比:
在本設計中,應答器標簽的頻率為125kHZ,線圈的電感L約為1.35mH,這樣電容C的容值就可由上面的公式算出固定的值。另外可以通過調節電阻R(注意線圈也含有一定的電阻)來調節品質因數,從而改變諧振電壓來提高讀寫距離。
2.2.4 數據輸入
這里所講的數據輸入指的是U2270B從天線回路讀回的數據。
基站從應答器讀人的是經過載波調制后的信號,它通過C17電容耦合輸入到INPUT輸入端,經過低通濾波器,放大器,施密特觸發器等幾個環節后,在ourPUT端輸出解調后的信號。低通濾波器的截止頻率由fosc決定。INPUT管腳的耦合電容C7 以及HIPASS管腳的去耦電容C6 的值決定了解調電路的高通特性,有利于更進一步濾除無用及干擾信號。C6和C7 的值依射頻卡的數據傳輸波特率的不同而不同,本學生考勤系統采用的波特率為 focs/32,此時c6,C7 分別為100nF和680pF。
C6與下限截止頻率的關系如下:
式中:Ri=2.5Ω
需要注意的是OUTPUT端輸出的信號只是經過了解調,并沒有解碼。解碼任務要通過單片機編程來完成。
3 U2270B模塊軟件設計
U2270B模塊提供給高層調用的主要有4個子函數。
3.1 U2270B初始化函數
在U2270B的初始化工作中主要就是將U2270B必要的控制口打上滿足條件的電平,因為不是馬上就要開始解碼工作,所以同時也將U2270B停止工作。并且默認是125kHz的解碼。
3.2 U2270B停止工作函數
為低功耗和具體功能的考慮,只有在光敏電阻中斷被允許或按下“IRQ”鍵時才調用一次解碼函數,在其他情況下一般讓U2270B處于不工作狀態。
3.3 開啟U2270B函數
當開始上課按鈕有效時光敏電阻中斷被允許,或者利用“IRQ”按鈕使讀卡器從低功耗模式下被喚醒,U2270B處于工作狀態。
3.4 U2270B解碼函數
解碼部分完全由軟件程序來實現,通過輸入捕捉接受到的脈沖來進行解碼,這也是U2270B的不足之處。
4 結語
由于篇幅有限,文中不再對考勤系統閱讀器的主控芯片MCU及其支撐電路和外圍接口電路做具體介紹。從射頻識別卡的使用方便、交易速度快、便于維護和使用壽命較長等優點來看, 射頻識別卡正在各種場合逐漸替代目前廣泛使用的接觸式Ic卡,應用前景十分廣闊。