UHF RFID閱讀器解調方式的研究
作者:北京交通大學 電子信息工程學院 王啟娟 劉章發
                        來源:RFID世界網
                        日期:2007-09-05 15:49:06
                    
                        摘要:在對UHF RFID 閱讀器工作原理進行分析的基礎上,介紹了一種工作在UHF頻段下的閱讀器的射頻接口電路,并確定閱讀器的解調方式。重點對零中頻解調方式進行了研究。
                    
                    
                    1引言 
射頻識別(Radio Frequeney Identification簡稱RFID)技術是90年代興起的自動識別技術。它是一項利用射頻信號通過空間耦合實現無接觸信息傳遞并通過所傳遞的信息達到識別目的的技術。RFID的距離可從幾厘米至幾米,這主要是由系統工作的頻率決定的,一般情況下,工作頻率越高.作用距離越遠。盡管RFID在不同頻段有著不同的應用。但近年來被業內人士看好的技術是基于UHF頻段的無線射頻識別技術。
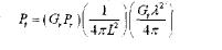
從經典的無線傳輸模型公式(1)中
      (1) 
可以看出:UHF頻段的RFID具有波長適中、遠場耦合、標簽 較小、空間衰耗小、工作距離相對較遠等優點。所以它適合應用在 物料跟蹤、運載工具和貨架識別等要求非接觸數據采集和交換的場合。根據我國最新制定的國家標準,我國工作在UHF的RFID 的頻率為860MHz一960MHz。本文研究工作在915MHz的RFID閱讀器中的一種零中頻解調方法。
2閱讀器工作原理
閱讀器是RFID系統中的基本單元。RFID系統的基本組成包括標簽和閱讀器兩部分,RFID應用系統包括標簽、讀寫器和RFID應用平臺三大部分。如圖1所示。
2.1閱讀器系統概況
在不同的頻率范圍內,從標簽到閱讀器的數據傳輸方式有根本性的不同,比如,根據不同的工作頻率,傳輸方式有負載調制,反向散射,高次諧波等。但是,所有的閱讀器在功能原理上,以及由此決定的構造設計上是很相似的。所有系統的閱讀器均可簡化為兩個基本的功能塊:控制系統和由發送器和接收器組成的高頻接口。此外,還有許對附加的接口,以便將所獲得的數據進一步傳輸給另外的系統。整個系統的控制由一個外部應用系統通過控制指令來實現。(見圖2)
2.2閱讀器射頻接口工作原理
射頻接口是閱讀器的重要組成部分,UHF RFID閱讀器射頻接口原理圖如圖3所示。其工作原理如下:頻率源電路提供射頻載波信號源,經功率分配器分成兩路并放大。其中一路進入發射電路,調制放大器將欲發送的數字信號調制到頻率源輸出的射頻載波上,調制后的載波信號放大后經功率放大器輸出。另一路被用作本振信號進入接收電路,而來自天線的標簽回發信號同樣進入接收電路,跟本振信號共同作用在解調電路上,解調后的信號經過放大、整形,通過數模轉換電路送入控制處理單元進行解碼處理。
2.3解調方式
根據其工作原理.UHF RFID閱讀器的解調方式一般采用正交零中頻解調或非零中頻解調方案。在非零中頻解調中,如果采用下變頻,則會產生一個鏡像頻率。這就需要在前端使用一個高頻濾波器在混頻之前削弱鏡像信號。這對振蕩器和濾波器的要求都很高。而采用上變頻可以極大的削弱鏡像信號,可以使前端的濾波變得容易,降低了對振蕩器和濾波器的要求,但付出的代價就是頻道的選擇要在一個更高的頻率上進行,這也給中頻處理鏈中其他的單元提出了更高的要求。
而在零中頻解調中.由于鏡像本身也是需要的信號.因此就沒有需要抑制的鏡像信號,所以前端的鏡像抑制濾波器可以去掉。此外由于用了0中頻,所以后續的基帶處理都在很低的頻率下進行的。這樣的系統允許有很高的集成度,也容易實現。
2.4正交零中頻解調原理
天線收到的RF信號通過一低噪聲放大器(LNA)后,分為I、Q兩個通道分別與頻率為載波頻率的兩個正交的本振信號進行混頻,直接下變頻為基帶信號,然后經低通濾波器濾去上變頻分量,再通過放大器后送入A/D轉換器采樣,最后送入DSP處理,如圖4所示。
本振信號為連續波,表示為VL(t)=Acosω0t,經過90 變為VLQ(t)=Acos(ω0t+π/2),天線接收到的標簽回發信號為AM波,接收信號為VR(【)=B(【)cos((1)0t+‘P),其中B(【)是標簽的數據信息,一般為單極性的二進制數據,‘p為收發信號之間的相位差,跟天線和標簽之間的距離有關。對每路混頻器,輸入信號包括本振和接收信號,輸出信號為兩個輸入信號的混頻結果:
I通道:wqj06.tif
0通道:wqi07.tif
每路信號經低通濾波器將高頻分量2~o0t濾除掉,就得到了標簽回發信號B(t):
I通道為:1/2AB(t)cosq~;Q通道為:1/2AB(t)cos((P一’rr/2)。
從上面的公式可以看出:兩通道的相位差為竹/2。這兩個信號通過放大器放大后進入DSP進行處理.最終得到所需要的數據。
由于I、Q通道的信號是正交的,且它們只和閱讀器天線和標簽之間的距離有關,也就是說,當標簽位于閱讀器天線覆蓋區域里,I、Q信號的正交性決定了這兩個信號不可能同時為零,這樣就保證了總有一路不為零的信號送人DSP處理器,保證了收到信號的有效性。
3結束語
本文在對UHF RFID閱讀的結構及工作原理進行詳細分析的基礎上,構建了一個工作在UHF RFID閱讀器中的射頻接口模
塊,并根據其工作原理確定了其中所用的解調器的解調方式,并對這種解調方式的合理性進行了研究.實驗也證明了這種解調方式簡化了閱讀器的設計,節約了成本,而且性能也有一定的提高。鑒于國內經濟的持續發展,中國成為世界工廠及最大的應用市場的地位和作用的日益顯著。RHD技術在物流和供應鏈中的應用必將發揮越來越重要的作用。RFID技術的研究及產品的開發也顯得日益重要。我國應該研發具有自主知識產權的RFID技術,以利于國內產品向著降低成本、走向世界的方向發展。
參考文獻:
『l]Klaus Finkenzeller.RFID Handbook:Fundamentals and Ap. plications in Contactless Smart Cards and Identification 【MI.John Wiley& Sons.Ltd.2003.
『2]Thomas H.Lee.The Design of CMOS Radio—Frequency In. tegrated Circuits『M1.Second Edition.Publishing House of Electron.ics Industry.電子工業出版社.2005.694~762.
『3]Jianming Zhang,Zeming Xie,Shengli Lai,Zehai Wu.A Design of RF Receiving Circuit of RFID Reader 『A1. Microwave and Millimeter Wave Technology.
2Oo4. ICMMT 4th International Con.ference on. Proceedings 1 8—2 1 Aug.2004 Page(s):406 —409.
『4】張益強,鄭銘,張其善.遠距離無源射頻識別系統設計『J].遙測控制,2004(25),4:45—49.
編者注:由于文檔轉換的關系,部分公式和數據有些問題.特別提供原文下載.
詳細的文件下載
                    
                射頻識別(Radio Frequeney Identification簡稱RFID)技術是90年代興起的自動識別技術。它是一項利用射頻信號通過空間耦合實現無接觸信息傳遞并通過所傳遞的信息達到識別目的的技術。RFID的距離可從幾厘米至幾米,這主要是由系統工作的頻率決定的,一般情況下,工作頻率越高.作用距離越遠。盡管RFID在不同頻段有著不同的應用。但近年來被業內人士看好的技術是基于UHF頻段的無線射頻識別技術。
從經典的無線傳輸模型公式(1)中
      (1) 可以看出:UHF頻段的RFID具有波長適中、遠場耦合、標簽 較小、空間衰耗小、工作距離相對較遠等優點。所以它適合應用在 物料跟蹤、運載工具和貨架識別等要求非接觸數據采集和交換的場合。根據我國最新制定的國家標準,我國工作在UHF的RFID 的頻率為860MHz一960MHz。本文研究工作在915MHz的RFID閱讀器中的一種零中頻解調方法。
2閱讀器工作原理
閱讀器是RFID系統中的基本單元。RFID系統的基本組成包括標簽和閱讀器兩部分,RFID應用系統包括標簽、讀寫器和RFID應用平臺三大部分。如圖1所示。

2.1閱讀器系統概況
在不同的頻率范圍內,從標簽到閱讀器的數據傳輸方式有根本性的不同,比如,根據不同的工作頻率,傳輸方式有負載調制,反向散射,高次諧波等。但是,所有的閱讀器在功能原理上,以及由此決定的構造設計上是很相似的。所有系統的閱讀器均可簡化為兩個基本的功能塊:控制系統和由發送器和接收器組成的高頻接口。此外,還有許對附加的接口,以便將所獲得的數據進一步傳輸給另外的系統。整個系統的控制由一個外部應用系統通過控制指令來實現。(見圖2)
2.2閱讀器射頻接口工作原理
射頻接口是閱讀器的重要組成部分,UHF RFID閱讀器射頻接口原理圖如圖3所示。其工作原理如下:頻率源電路提供射頻載波信號源,經功率分配器分成兩路并放大。其中一路進入發射電路,調制放大器將欲發送的數字信號調制到頻率源輸出的射頻載波上,調制后的載波信號放大后經功率放大器輸出。另一路被用作本振信號進入接收電路,而來自天線的標簽回發信號同樣進入接收電路,跟本振信號共同作用在解調電路上,解調后的信號經過放大、整形,通過數模轉換電路送入控制處理單元進行解碼處理。

2.3解調方式
根據其工作原理.UHF RFID閱讀器的解調方式一般采用正交零中頻解調或非零中頻解調方案。在非零中頻解調中,如果采用下變頻,則會產生一個鏡像頻率。這就需要在前端使用一個高頻濾波器在混頻之前削弱鏡像信號。這對振蕩器和濾波器的要求都很高。而采用上變頻可以極大的削弱鏡像信號,可以使前端的濾波變得容易,降低了對振蕩器和濾波器的要求,但付出的代價就是頻道的選擇要在一個更高的頻率上進行,這也給中頻處理鏈中其他的單元提出了更高的要求。
而在零中頻解調中.由于鏡像本身也是需要的信號.因此就沒有需要抑制的鏡像信號,所以前端的鏡像抑制濾波器可以去掉。此外由于用了0中頻,所以后續的基帶處理都在很低的頻率下進行的。這樣的系統允許有很高的集成度,也容易實現。
2.4正交零中頻解調原理
天線收到的RF信號通過一低噪聲放大器(LNA)后,分為I、Q兩個通道分別與頻率為載波頻率的兩個正交的本振信號進行混頻,直接下變頻為基帶信號,然后經低通濾波器濾去上變頻分量,再通過放大器后送入A/D轉換器采樣,最后送入DSP處理,如圖4所示。
本振信號為連續波,表示為VL(t)=Acosω0t,經過90 變為VLQ(t)=Acos(ω0t+π/2),天線接收到的標簽回發信號為AM波,接收信號為VR(【)=B(【)cos((1)0t+‘P),其中B(【)是標簽的數據信息,一般為單極性的二進制數據,‘p為收發信號之間的相位差,跟天線和標簽之間的距離有關。對每路混頻器,輸入信號包括本振和接收信號,輸出信號為兩個輸入信號的混頻結果:
I通道:wqj06.tif
0通道:wqi07.tif
每路信號經低通濾波器將高頻分量2~o0t濾除掉,就得到了標簽回發信號B(t):

I通道為:1/2AB(t)cosq~;Q通道為:1/2AB(t)cos((P一’rr/2)。
從上面的公式可以看出:兩通道的相位差為竹/2。這兩個信號通過放大器放大后進入DSP進行處理.最終得到所需要的數據。
由于I、Q通道的信號是正交的,且它們只和閱讀器天線和標簽之間的距離有關,也就是說,當標簽位于閱讀器天線覆蓋區域里,I、Q信號的正交性決定了這兩個信號不可能同時為零,這樣就保證了總有一路不為零的信號送人DSP處理器,保證了收到信號的有效性。
3結束語
本文在對UHF RFID閱讀的結構及工作原理進行詳細分析的基礎上,構建了一個工作在UHF RFID閱讀器中的射頻接口模
塊,并根據其工作原理確定了其中所用的解調器的解調方式,并對這種解調方式的合理性進行了研究.實驗也證明了這種解調方式簡化了閱讀器的設計,節約了成本,而且性能也有一定的提高。鑒于國內經濟的持續發展,中國成為世界工廠及最大的應用市場的地位和作用的日益顯著。RHD技術在物流和供應鏈中的應用必將發揮越來越重要的作用。RFID技術的研究及產品的開發也顯得日益重要。我國應該研發具有自主知識產權的RFID技術,以利于國內產品向著降低成本、走向世界的方向發展。
參考文獻:
『l]Klaus Finkenzeller.RFID Handbook:Fundamentals and Ap. plications in Contactless Smart Cards and Identification 【MI.John Wiley& Sons.Ltd.2003.
『2]Thomas H.Lee.The Design of CMOS Radio—Frequency In. tegrated Circuits『M1.Second Edition.Publishing House of Electron.ics Industry.電子工業出版社.2005.694~762.
『3]Jianming Zhang,Zeming Xie,Shengli Lai,Zehai Wu.A Design of RF Receiving Circuit of RFID Reader 『A1. Microwave and Millimeter Wave Technology.
2Oo4. ICMMT 4th International Con.ference on. Proceedings 1 8—2 1 Aug.2004 Page(s):406 —409.
『4】張益強,鄭銘,張其善.遠距離無源射頻識別系統設計『J].遙測控制,2004(25),4:45—49.
編者注:由于文檔轉換的關系,部分公式和數據有些問題.特別提供原文下載.
詳細的文件下載