基于 RFID 技術的無線 Key 模型
作者:RFID世界網  收編
                        來源:維庫電子市場網
                        日期:2009-10-16 09:02:38
                    
                        摘要:隨著電子商務和網上銀行的普遍應用,USBKey 的安全使用成為日益關注的問題。在公司、銀行、交易所等一些公共場所,如果用戶臨時有事暫時離開而又忘記拔掉USBKey,這 時非法者就有可能趁虛而入,竊取用戶隱私或者利用存儲在USBKey 中的證書進行網上非 法交易,給用戶造成隱私泄漏和金錢損失。所以,有必要設計一種用戶可以隨身攜帶的 USBKey 來解決這方面的安全問題。這樣既能方便用戶,而且更加安全。本文正是在這種問 題背景下設計了一種基于RFID 技術的無線Key 模型,并對其安全性進行了分析。
                    
                    
                      1 引言 
隨著電子商務和網上銀行的普遍應用,USBKey 的安全使用成為日益關注的問題。在公司、銀行、交易所等一些公共場所,如果用戶臨時有事暫時離開而又忘記拔掉USBKey,這 時非法者就有可能趁虛而入,竊取用戶隱私或者利用存儲在USBKey 中的證書進行網上非 法交易,給用戶造成隱私泄漏和金錢損失。所以,有必要設計一種用戶可以隨身攜帶的 USBKey 來解決這方面的安全問題。這樣既能方便用戶,而且更加安全。本文正是在這種問 題背景下設計了一種基于RFID 技術的無線Key 模型,并對其安全性進行了分析。
2 RFID 安全性分析
RFID 系統主要包括:電子標簽(Tag)、讀卡器(Reader)和微型天線(Antenna)。由于集成(1)(2) 的RFID 系統實際上是一個計算機網絡應用系統,因此安全問題類似于計算機和網絡的安全 問題。一般地,RFID 的安全威脅除了與計算機網絡有相同之處外,還包括標簽數據、通信 鏈路和閱讀器協議三種類型的安全威脅(3)。標簽數據的安全威脅表現為非法用戶可以利用合 法的閱讀器或者自構一個閱讀器,直接與標簽進行通信,造成標簽內數據泄露;通信鏈路上的安全威脅主要表現在黑客非法截取通信數據、非法用戶通過發射干擾信號來堵塞通信鏈 路、利用冒名頂替標簽向閱讀器發送數據以及發射特定電磁波破壞標簽等方面;閱讀器協議 安全威脅是指在閱讀器中,除中間件(4)被用來完成數據的遴選、時間過濾和管理之外,只能 提供用戶業務接口,而不能提供能讓用戶自行提升安全性能的接口。
由此可見,如何解決RFID 技術的安全缺陷成為其能否得到更大程度應用的關鍵。而本 文正是利用USBKey 的操作安全性提出了一個將RFID 技術與USBKey 相結合的模型。
3 無線Key 模型設計
3.1 模型設計
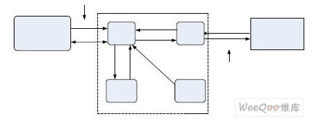
無線Key 的功能實現需要用戶機終端、讀卡器、無線Key 等硬件,其中標簽內嵌在無 線Key 內。其模型設計如圖1 所示:
無線Key 由用戶隨身攜帶,其硬件構成如上圖所示。其中ROM 單元存放的是標簽的ID 號。COS 即芯片操作系統,是無線Key 的核心,它主要實現控制無線Key 和外界的信息交 換,管理存儲器單元并在無線Key 內部完成各種命令的處理等功能。 無線 Key 的認證過程主要分為兩個步驟:第一步:利用RFID 技術實現標簽與讀卡器之 間的雙向認證;第二步:在標簽與讀卡器進行雙向認證無誤后,用戶機終端提示用戶輸入 PIN 碼,進行主機對用戶身份的認證。
3.2 協議設計
這里,假設讀卡器和用戶機終端數據庫的通信是在一條安全可靠的有連接信道上進行而讀卡器和無線Key 之間的通信是不安全的。并且在用戶機終端和無線Key 的RAM 中已 經存儲了讀卡器和無線Key 雙方的證書。協議描述過程(6)(7)如下:
⑴當帶有標簽的無線 Key 進入到讀卡器的作用范圍內時,讀卡器會向應答器發送請求。 ⑵應答器產生響應,并由無線Key 的COS 執行一系列操作:先由隨機數發生器產生隨機數 R1 并存儲到RAM 單元,然后取出RAM 單元中存儲的讀卡器的證書Certreader,在加/解密邏 輯單元中利用讀卡器證書里的公鑰KUB 對隨機數R1 進行加密。最后通過應答器再發送給讀 卡器,如圖2 所示:
⑺無線 Key 端應答器收到后進行解密,將計算得到的R3 與第⑸步存儲的R3 進行驗證比較, 以確認是正確授權的讀卡器接收了ID 號。
至此,完成了讀卡器與標簽之間的雙向認證,并且讀卡器安全地獲得了標簽的 ID 號, 為下面進行用戶身份的認證提供了前提。
⑻用戶機提示用戶輸入無線 Key 對應的PIN 碼,輸入后保存到用戶機的RAM 中;同時COS 調用密鑰生成器,生成一對公/私鑰,將公/私鑰存儲到無線Key 的RAM 單元中,并把產生 的公鑰發送給讀卡器。
⑼讀卡器接收后,利用該公鑰對上一步存儲的 PIN 碼進行加密并發送給應答器。 ⑽應答器接收并取出存儲在 RAM 中相對應的私鑰進行解密,得到用戶輸入的PIN 碼,然后 與存儲在RAM 單元中的PIN 碼進行比較,驗證用戶身份。
驗證通過后,用戶就可以利用無線Key 進行網上交易簽名或者其它電子商務活動了。
4 模型安全性分析
在虛擬的網絡世界,通信安全無疑是要考慮的首要問題。而對于無線Key 模型,如何 解決無線射頻環境中的通信成為其安全與否的關鍵。下面具體從5 個方面來分析。
⑴讀卡器與標簽之間通信的保密性。讀卡器與標簽都采用公鑰密碼算法(例如RSA 算法)對 數據進行加/解密運算,即使被攻擊者截獲,也無法解密,有效地保證了數據在不安全信道 傳輸的安全性和完整性。
⑵防止重放攻擊。在標簽對讀卡器認證的過程中,讀卡器收到的R1 是隨機產生的,下一次 收到的R1 是不一樣的,因此攻擊者再重放Token1 給標簽是不能通過驗證的,同理標簽應答 器收到的R2 以及后來產生的R3 也是如此。因此,讀卡器和標簽都可以抵御重放攻擊。
⑶防止中間人攻擊。讀卡器與標簽之間采用公鑰密碼算法有效地防止了攻擊者進行中間人攻 擊的可能。攻擊者可以獲得讀卡器和無線Key 所對應的證書,從而獲得公鑰。但是在應答 器利用讀卡器的公鑰將隨機數R1 加密并發送給讀卡器后,攻擊者即使截獲,也無法解密獲 得R1。
⑷保護隱私。在本模型中,RFID 標簽對讀卡器是有選擇性的,讀卡器取得標簽信息之前, 標簽會對讀卡器的合法性進行驗證,如果讀卡器沒有通過驗證,標簽就認為讀卡器是非法的, 不會對讀卡器做出任何相應。這種機制很好地保護了標簽信息隱私的安全,非授權讀卡器是 不可能取得標簽中的信息,也不能對目標進行跟蹤。
⑸防止USBKey 被利用進行非法交易。由于采用了RFID 技術,用戶走出讀卡器的作用范圍 后,身上隨身攜帶的無線Key 自動與終端PC 機斷開連接,這樣可以防止用戶因為疏忽而忘 記USBKey 還插在PC 機USB 端口上的情況。這不僅方便了用戶,而且也杜絕了不法分子 冒充用戶進行非法交易活動。
5 總結
本文在對RFID 安全性進行分析的基礎上,提出設計了基于RFID 技術的無線Key 模型。 與單一的RFID 技術應用相比,本模型不僅充分利用了RFID 技術便捷的優點,而且還結合 了USBKey 的加密技術,使安全性和方便性得到了充分發揮。
                    
                隨著電子商務和網上銀行的普遍應用,USBKey 的安全使用成為日益關注的問題。在公司、銀行、交易所等一些公共場所,如果用戶臨時有事暫時離開而又忘記拔掉USBKey,這 時非法者就有可能趁虛而入,竊取用戶隱私或者利用存儲在USBKey 中的證書進行網上非 法交易,給用戶造成隱私泄漏和金錢損失。所以,有必要設計一種用戶可以隨身攜帶的 USBKey 來解決這方面的安全問題。這樣既能方便用戶,而且更加安全。本文正是在這種問 題背景下設計了一種基于RFID 技術的無線Key 模型,并對其安全性進行了分析。
2 RFID 安全性分析
RFID 系統主要包括:電子標簽(Tag)、讀卡器(Reader)和微型天線(Antenna)。由于集成(1)(2) 的RFID 系統實際上是一個計算機網絡應用系統,因此安全問題類似于計算機和網絡的安全 問題。一般地,RFID 的安全威脅除了與計算機網絡有相同之處外,還包括標簽數據、通信 鏈路和閱讀器協議三種類型的安全威脅(3)。標簽數據的安全威脅表現為非法用戶可以利用合 法的閱讀器或者自構一個閱讀器,直接與標簽進行通信,造成標簽內數據泄露;通信鏈路上的安全威脅主要表現在黑客非法截取通信數據、非法用戶通過發射干擾信號來堵塞通信鏈 路、利用冒名頂替標簽向閱讀器發送數據以及發射特定電磁波破壞標簽等方面;閱讀器協議 安全威脅是指在閱讀器中,除中間件(4)被用來完成數據的遴選、時間過濾和管理之外,只能 提供用戶業務接口,而不能提供能讓用戶自行提升安全性能的接口。
由此可見,如何解決RFID 技術的安全缺陷成為其能否得到更大程度應用的關鍵。而本 文正是利用USBKey 的操作安全性提出了一個將RFID 技術與USBKey 相結合的模型。
3 無線Key 模型設計
3.1 模型設計
無線Key 的功能實現需要用戶機終端、讀卡器、無線Key 等硬件,其中標簽內嵌在無 線Key 內。其模型設計如圖1 所示:

圖1 基于RFID 技術的無線Key 模型 
無線Key 由用戶隨身攜帶,其硬件構成如上圖所示。其中ROM 單元存放的是標簽的ID 號。COS 即芯片操作系統,是無線Key 的核心,它主要實現控制無線Key 和外界的信息交 換,管理存儲器單元并在無線Key 內部完成各種命令的處理等功能。 無線 Key 的認證過程主要分為兩個步驟:第一步:利用RFID 技術實現標簽與讀卡器之 間的雙向認證;第二步:在標簽與讀卡器進行雙向認證無誤后,用戶機終端提示用戶輸入 PIN 碼,進行主機對用戶身份的認證。
3.2 協議設計
這里,假設讀卡器和用戶機終端數據庫的通信是在一條安全可靠的有連接信道上進行而讀卡器和無線Key 之間的通信是不安全的。并且在用戶機終端和無線Key 的RAM 中已 經存儲了讀卡器和無線Key 雙方的證書。協議描述過程(6)(7)如下:
⑴當帶有標簽的無線 Key 進入到讀卡器的作用范圍內時,讀卡器會向應答器發送請求。 ⑵應答器產生響應,并由無線Key 的COS 執行一系列操作:先由隨機數發生器產生隨機數 R1 并存儲到RAM 單元,然后取出RAM 單元中存儲的讀卡器的證書Certreader,在加/解密邏 輯單元中利用讀卡器證書里的公鑰KUB 對隨機數R1 進行加密。最后通過應答器再發送給讀 卡器,如圖2 所示:
  
圖2 應答器響應并利用KUB 發送R1 
  
圖3 發送Token1 給無線Key 
  
圖4 無線Key 發送Token2 給讀卡器 
⑺無線 Key 端應答器收到后進行解密,將計算得到的R3 與第⑸步存儲的R3 進行驗證比較, 以確認是正確授權的讀卡器接收了ID 號。
至此,完成了讀卡器與標簽之間的雙向認證,并且讀卡器安全地獲得了標簽的 ID 號, 為下面進行用戶身份的認證提供了前提。
⑻用戶機提示用戶輸入無線 Key 對應的PIN 碼,輸入后保存到用戶機的RAM 中;同時COS 調用密鑰生成器,生成一對公/私鑰,將公/私鑰存儲到無線Key 的RAM 單元中,并把產生 的公鑰發送給讀卡器。
⑼讀卡器接收后,利用該公鑰對上一步存儲的 PIN 碼進行加密并發送給應答器。 ⑽應答器接收并取出存儲在 RAM 中相對應的私鑰進行解密,得到用戶輸入的PIN 碼,然后 與存儲在RAM 單元中的PIN 碼進行比較,驗證用戶身份。
驗證通過后,用戶就可以利用無線Key 進行網上交易簽名或者其它電子商務活動了。
4 模型安全性分析
在虛擬的網絡世界,通信安全無疑是要考慮的首要問題。而對于無線Key 模型,如何 解決無線射頻環境中的通信成為其安全與否的關鍵。下面具體從5 個方面來分析。
⑴讀卡器與標簽之間通信的保密性。讀卡器與標簽都采用公鑰密碼算法(例如RSA 算法)對 數據進行加/解密運算,即使被攻擊者截獲,也無法解密,有效地保證了數據在不安全信道 傳輸的安全性和完整性。
⑵防止重放攻擊。在標簽對讀卡器認證的過程中,讀卡器收到的R1 是隨機產生的,下一次 收到的R1 是不一樣的,因此攻擊者再重放Token1 給標簽是不能通過驗證的,同理標簽應答 器收到的R2 以及后來產生的R3 也是如此。因此,讀卡器和標簽都可以抵御重放攻擊。
⑶防止中間人攻擊。讀卡器與標簽之間采用公鑰密碼算法有效地防止了攻擊者進行中間人攻 擊的可能。攻擊者可以獲得讀卡器和無線Key 所對應的證書,從而獲得公鑰。但是在應答 器利用讀卡器的公鑰將隨機數R1 加密并發送給讀卡器后,攻擊者即使截獲,也無法解密獲 得R1。
⑷保護隱私。在本模型中,RFID 標簽對讀卡器是有選擇性的,讀卡器取得標簽信息之前, 標簽會對讀卡器的合法性進行驗證,如果讀卡器沒有通過驗證,標簽就認為讀卡器是非法的, 不會對讀卡器做出任何相應。這種機制很好地保護了標簽信息隱私的安全,非授權讀卡器是 不可能取得標簽中的信息,也不能對目標進行跟蹤。
⑸防止USBKey 被利用進行非法交易。由于采用了RFID 技術,用戶走出讀卡器的作用范圍 后,身上隨身攜帶的無線Key 自動與終端PC 機斷開連接,這樣可以防止用戶因為疏忽而忘 記USBKey 還插在PC 機USB 端口上的情況。這不僅方便了用戶,而且也杜絕了不法分子 冒充用戶進行非法交易活動。
5 總結
本文在對RFID 安全性進行分析的基礎上,提出設計了基于RFID 技術的無線Key 模型。 與單一的RFID 技術應用相比,本模型不僅充分利用了RFID 技術便捷的優點,而且還結合 了USBKey 的加密技術,使安全性和方便性得到了充分發揮。