偶極子 RFID 標簽天線的優化設計與研究
作者:呂鋒,徐宇白
來源:RFID世界網
日期:2009-09-25 09:45:58
摘要:針對靈活高效的射頻識別(radio frequency identification,RFID)天線的需求逐年遞增的現狀,給出了無源RFID標簽半波偶極子天線總體的設計方法。基于半波偶極子天線的特性以及天線的輸入阻抗與RFID標簽接收功率之間的對應關系,提出了一種應用于868~915 MHz的RFID標簽天線的優化設計方案,并通過仿真分析了天線的阻抗特性。該方案可使天線達到較高的輸入阻抗來實現與一些RFID標簽的匹配。
近年來,RFID技術飛速發展并逐漸成為自動物體識別應用中的主要技術。RFID技術利用無線射頻方式進行非接觸雙向通信,可達到識別并交換數據的目的。與磁卡和IC卡等接觸式識別技術不同,RFID系統的電子標簽和讀寫器之間無需物理接觸就可完成識別,屬于非接觸識別。RFID技術具有一些獨特的優點,如讀寫操作方便、靈活,實時完成,一次識別多個射頻卡,識別運動中的射頻卡,避免了由于接觸帶來的對卡片的磨損和對集成電路的損壞等。因此,它可更廣泛地應用于供應鏈路和零售業中。
RFID系統能捕捉運動物體的詳細信息并識別物體中存儲的每一個信息項目。該技術避免了跟蹤過程中的人工干預,在節省大量人力的同時可極大地提高工作效率。在不同的應用環境中RFID技術需要采用不同的天線通信技術來實現數據交換,現今有很多種RFID天線類型,如偶極子天線、分形天線、環形槽天線和微帶貼片天線等。筆者主要研究偶極子天線在RFID系統中的設計與應用。
1 偶極子天線理論分析
1.1 RFID系統原理
典型的RFID系統由閱讀器和電子標簽組成,如圖1所示。閱讀器連接著電腦終端,主要用數據天線
數據和能量傳輸是RFID系統運作的一個重要環節。射頻信號通過閱讀器天線和標簽天線的空間耦合(交變磁場或電磁場)實現數據傳遞,因此,天線在整個RFID系統中扮演著重要角色。而標簽天線與標簽芯片之間的阻抗匹配在提高系統的閱讀范圍和能量傳輸的效率上尤為重要。
1.2 半波偶極子天線特性
一個簡易的偶極子天線由兩段同樣粗細、長度相等的直導線構成,在中間兩個端點之間進行饋電。由于它結構簡單,廣泛應用于通信、雷達和探測等各種無線電設備中,適用于短波、超短波,甚至微波。它既可作為簡單的天線單獨使用,又可作為天線陣的單元或面天線的饋源。
半波偶極子天線的長度是半個波長,它的結構如圖2所示。由于半波偶極子是基本的線天線,很多天線都是在半波振子的基礎上設計的。
半波偶極子天線的輻射電阻為:
(1),可得到半波偶極子天線的輻射電阻為:
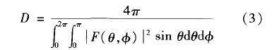
可得,半波偶極子的方向系數D=1.64。
由于半波偶極子的特性阻抗接近純阻性,因此可以把半波偶極子看作無耗天線,即η=1。由于半波偶極子的方向系數D=1.64,因此半波偶極子的增益為:
偶極子RFID標簽天線的等效電路如圖3所示,如果RFID標簽在閱讀器周圍的一定范圍內,假設 為標簽天線在電場強度為E,距離為r的區域所產生的感應電壓,而傳送至RFID標簽終端的電壓U1只是U0 的一部分。由圖3可看出U1,為RFID標簽的供電電壓。
天線的一個重要性質是它的阻抗za等于電抗Xa與輻射電阻Ra的和(5),即:
za=Ra+ jXa (5)
同理可知標簽的阻抗為:
Zt =Rt + jXt (6)
設天線傳送到標簽的功率為Pe,則Pe為影
式(7)表明了天線阻抗和標簽接收到功率的對應關系,顯然,要得到最大的功率Pe ,就必須使天線的阻抗與RFID標簽的阻抗達到阻抗匹配,即Ra=Rt且Xa=-Xt。當天線和標簽達到阻抗匹配時,將式(8)代入式(7),可以得到最大的接收功率Pe為:
可以看出,要使RFID標簽獲得最大的功率,天線與標簽之間的阻抗匹配起著關鍵作用,因此,天線的設計,直接影響著天線阻抗特性及整個RFID系統的性能。
2 偶極子RFID標簽天線的優化設計
2.1 三線折疊半波偶極子天線模型
RFID標簽天線的設計由所選的標簽芯片決定,為了優化標簽天線的傳輸性能,天線的輻射電阻必須適應標簽芯片的阻抗特性。天線的設計一直與50Ω或75Ω的標簽芯片相匹配,隨著RFID技術的發展,一些標簽芯片的阻抗變得任意化,從而天線的設計也需要滿足不同芯片的阻抗特性 。圖4給出了一種三線折疊半波偶極子天線的設計結構,該結構可以使天線得到較高的輸人阻抗,從而更方便與標簽芯片達到阻抗匹配。
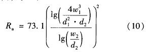
該結構中,每根偶極子之間的寬度d應小于0.05λ。這種天線結構使得天線的輻射電阻能夠達到簡單半波偶極子的8倍左右,其輻射電阻值可由式(10)得到:
從式(10)可看出,該結構由若干參數決定,如偶極子寬度d1和d2,每根偶極子之間的距離W1和W2 。這些參數值直接影響天線輻射電阻值,為使標簽達到最大效率,表1給出了RFID系統應用頻率在868~915 MHz的天線結構參數值。
表1 天線結構參數值
圖5給出了三線折疊半波偶極子天線和簡單偶極子天線阻抗隨頻率變化的情況,可以看出,該結構的天線阻抗明顯比簡單偶極子高了很多,能夠較好地與RFID標簽芯片達到阻抗匹配。圖6給出了應用該三線折疊偶極子天線及簡單偶極子天線的RFID標簽接收功率隨頻率的變化情況,可以看出,三線折疊偶極子天線結構使RFID標簽的功率接收效率有了明顯提高。
對無源RFID標簽半波偶極子天線總體的設計方法進行了討論,提出了一種應用于868~915MHz的RFID標簽天線的優化設計方案,并通過圖形分析了天線的阻抗特性及RFID標簽功率接收效率。用這種方案制作的半波偶極子天線簡單、方便且費用低廉,可以使天線達到較高的輸入阻抗來實現與一些RFID標簽的匹配,從而有效提高RFID標簽的功率接收效率。
天線的RFID標簽接收功率的頻率特性
RFID系統能捕捉運動物體的詳細信息并識別物體中存儲的每一個信息項目。該技術避免了跟蹤過程中的人工干預,在節省大量人力的同時可極大地提高工作效率。在不同的應用環境中RFID技術需要采用不同的天線通信技術來實現數據交換,現今有很多種RFID天線類型,如偶極子天線、分形天線、環形槽天線和微帶貼片天線等。筆者主要研究偶極子天線在RFID系統中的設計與應用。
1 偶極子天線理論分析
1.1 RFID系統原理
典型的RFID系統由閱讀器和電子標簽組成,如圖1所示。閱讀器連接著電腦終端,主要用數據天線

數據和能量傳輸是RFID系統運作的一個重要環節。射頻信號通過閱讀器天線和標簽天線的空間耦合(交變磁場或電磁場)實現數據傳遞,因此,天線在整個RFID系統中扮演著重要角色。而標簽天線與標簽芯片之間的阻抗匹配在提高系統的閱讀范圍和能量傳輸的效率上尤為重要。
1.2 半波偶極子天線特性
一個簡易的偶極子天線由兩段同樣粗細、長度相等的直導線構成,在中間兩個端點之間進行饋電。由于它結構簡單,廣泛應用于通信、雷達和探測等各種無線電設備中,適用于短波、超短波,甚至微波。它既可作為簡單的天線單獨使用,又可作為天線陣的單元或面天線的饋源。
半波偶極子天線的長度是半個波長,它的結構如圖2所示。由于半波偶極子是基本的線天線,很多天線都是在半波振子的基礎上設計的。

半波偶極子天線的輻射電阻為:


(1),可得到半波偶極子天線的輻射電阻為:


可得,半波偶極子的方向系數D=1.64。
由于半波偶極子的特性阻抗接近純阻性,因此可以把半波偶極子看作無耗天線,即η=1。由于半波偶極子的方向系數D=1.64,因此半波偶極子的增益為:

偶極子RFID標簽天線的等效電路如圖3所示,如果RFID標簽在閱讀器周圍的一定范圍內,假設 為標簽天線在電場強度為E,距離為r的區域所產生的感應電壓,而傳送至RFID標簽終端的電壓U1只是U0 的一部分。由圖3可看出U1,為RFID標簽的供電電壓。
天線的一個重要性質是它的阻抗za等于電抗Xa與輻射電阻Ra的和(5),即:
za=Ra+ jXa (5)
同理可知標簽的阻抗為:
Zt =Rt + jXt (6)
設天線傳送到標簽的功率為Pe,則Pe為影



式(7)表明了天線阻抗和標簽接收到功率的對應關系,顯然,要得到最大的功率Pe ,就必須使天線的阻抗與RFID標簽的阻抗達到阻抗匹配,即Ra=Rt且Xa=-Xt。當天線和標簽達到阻抗匹配時,將式(8)代入式(7),可以得到最大的接收功率Pe為:

可以看出,要使RFID標簽獲得最大的功率,天線與標簽之間的阻抗匹配起著關鍵作用,因此,天線的設計,直接影響著天線阻抗特性及整個RFID系統的性能。
2 偶極子RFID標簽天線的優化設計
2.1 三線折疊半波偶極子天線模型
RFID標簽天線的設計由所選的標簽芯片決定,為了優化標簽天線的傳輸性能,天線的輻射電阻必須適應標簽芯片的阻抗特性。天線的設計一直與50Ω或75Ω的標簽芯片相匹配,隨著RFID技術的發展,一些標簽芯片的阻抗變得任意化,從而天線的設計也需要滿足不同芯片的阻抗特性 。圖4給出了一種三線折疊半波偶極子天線的設計結構,該結構可以使天線得到較高的輸人阻抗,從而更方便與標簽芯片達到阻抗匹配。

該結構中,每根偶極子之間的寬度d應小于0.05λ。這種天線結構使得天線的輻射電阻能夠達到簡單半波偶極子的8倍左右,其輻射電阻值可由式(10)得到:

從式(10)可看出,該結構由若干參數決定,如偶極子寬度d1和d2,每根偶極子之間的距離W1和W2 。這些參數值直接影響天線輻射電阻值,為使標簽達到最大效率,表1給出了RFID系統應用頻率在868~915 MHz的天線結構參數值。
表1 天線結構參數值

圖5給出了三線折疊半波偶極子天線和簡單偶極子天線阻抗隨頻率變化的情況,可以看出,該結構的天線阻抗明顯比簡單偶極子高了很多,能夠較好地與RFID標簽芯片達到阻抗匹配。圖6給出了應用該三線折疊偶極子天線及簡單偶極子天線的RFID標簽接收功率隨頻率的變化情況,可以看出,三線折疊偶極子天線結構使RFID標簽的功率接收效率有了明顯提高。

對無源RFID標簽半波偶極子天線總體的設計方法進行了討論,提出了一種應用于868~915MHz的RFID標簽天線的優化設計方案,并通過圖形分析了天線的阻抗特性及RFID標簽功率接收效率。用這種方案制作的半波偶極子天線簡單、方便且費用低廉,可以使天線達到較高的輸入阻抗來實現與一些RFID標簽的匹配,從而有效提高RFID標簽的功率接收效率。

天線的RFID標簽接收功率的頻率特性