《800/900MHz頻段射頻識別(RFID)技術應用規定(試行)》解析
2O07年4月20日 信息產業部發布了《8O0MHz/900 MHz頻段射頻識別(RFID)技術應用規定(試行)》(信部無[2007]205號) (以下簡稱《規定)) 對我國UHF頻段RFID無線發射設備的工作頻率、發射功率、占用帶寬、頻率容限、鄰道功率泄漏比、工作模式、雜散發射限值以及傳導騷擾發射等射頻指標作了詳細的規定。本文從無線電管理角度和技術角度出發,淺談對《規定》的一些主要技術指標的理解與廣大讀者共享。
1、關于工作頻率的規定
《規定》第一條:800 MHz/900 MHz頻段RFID技術的具體使用頻率為840 MHz~845 MHz和920 MHz~ 925 MHz。
該頻率范圍的規定既考慮了與國際標準相銜接又考慮了我國無線電頻率劃分和產業發展的實際情況,同時支持了我國自主創新的RFID技術的研究。頻率范圍與國際標準相銜接,可以使國內外生產的R FID標簽能夠通用為我國產品的出口流通提供了方便。同時可以使我國制造企業生產的R FID設備不需要經過太大的改動就能在美國和歐洲使用降低企業的設計和制造成本。國際標準ISO/IEC18000—6推薦UHF頻段RFID設備使用的頻率范圍是860 MHz~960 MHz。目前世界上主要發達國家和地區在這一頻段對R FID業務所做的頻率規劃如表1所示 我國860 MHz~960 MHz頻段的具體頻率使用狀況如表2。

表1 全球RFID頻率規劃情況

表2 我國860 MHz~960MHz頻段的頻率使用狀況
從我國目前在860 MHz~960 MHz頻段的頻率使用現狀(表2)可以看到 在該頻段內頻率已經劃分完畢 沒有空余頻段可用于RFID頻率,因此應選擇與現有業務相互影響最小的工作頻段。移動通信和航空導航業務由于使用地域廣泛 而且其業務的重要性高 所以國家很難采取措施來實現其與RFID業務的共用。無中心對講業務由于是窄帶業務 其使用頻帶寬度只有2 MHz 所以也無法采用共用的方式來用作RFID業務。因此 我國采取了RFID業務與點對點立體聲廣播傳輸業務共用頻段的方式解決這個問題。點對點立體聲廣播傳輸業務主要用于廣播電臺播控中心與調頻廣播發射機房之間的節目傳送,工作頻段為91 7 MHz~925 MHz。筆者認為,國家~BRFtD使用頻率規劃在920 MHz~925 MHz有著以下幾個方面的考慮。
第一.該業務的使用范圍局限(如廣州地區),設備架設位置特殊.僅用于點對點傳輸 只要采取適當的技術措施,就可以避免和減弱RFID使用時的干擾。而且RFID~頻技術可極大減小這兩種業務間的相互干擾。
第二,近年來隨著光纖通信與衛星通信的發展,大多數原有的點對點立體聲廣播傳輸業務已經采用光纖傳輸或衛星轉發替代。隨著其應用的減少 可以逐步把該業務使用頻率調整到91 7 MH Z~920 MHz這3 MHz范圍內。
第三, 中國香港地區使用的頻段也是920 MHz~925 MHz 頻率范圍選取的一致性有利于加速RFID技術在粵港貨物快速流通中的應用。
《中國RFID技術政策白皮書》指出,“要建立中國R FID技術自主創新體系,取得核心技術的自主知識產權。 我國為RFID使用頻率劃分了雙頻段,除了920 MHz~925 MHz頻段外.還從800 MHz頻段中劃出了840 MHz~845 MHz供使用。該劃分充分考慮了為RFID產業未來發展留有足夠的頻率擴展空間,同時支持了我國自主創新的RFID技術的研究。首先,雖然對國內外RFID設備制造商來說 該頻段的RFID產品無論在知識產權方面.還是在產品生產方面,機會都是均等的,但該頻段的RFID設備最終只能在國內使用。這對于國內的制造商來說 在取得核心技術的自主知識產權方面占有比較大的優勢。其次,雙頻段的劃分考慮了對歐洲和美國的平衡,同時兼顧了歐洲和美國市場。在我國國內生產和使用的900 MHz頻段R FID設備可經過較小的軟件方面的改動銷往美國 800 MHz頻段設備則可經過較小改動銷往歐洲。
雙頻段劃分也存在著一些缺陷。首先 由于支持雙頻的RFID設備的射頻元器件要求比支持單頻的高 如要求寬頻帶 高動態范圍等,因而廠家研發和制造成本會相對比較高。其次,如果用840 MHz~845 MHz頻段的RFID讀寫器讀920 MHz~92 5 MHz頻段的RFID標簽,最大讀寫距離會有大約30%的損失這是由RFID讀寫器和RFID標簽的濾波器件、天線等射頻元器件的非寬頻特性所帶來的功率損失造成的。
2關于占用帶寬的規定
《規定》第二條:信道帶寬和信道占用帶寬(99%能量):250 kHz。
與國際上其他國家和地區相對比 歐洲對RFID信道帶寬的規定是200 kHz 而美國是500 kHz。占用帶寬是由數據傳輸速率和調制方式共同決定的,規定了數據傳輸速率和調制方式,所需占用帶寬也就相應確定了.在調制方式固定的情況下,數據傳輸速率越大.則所需占用帶寬越大。而數據傳輸速率又和RFID標簽信息長度、編碼方式及每秒鐘要求讀取標簽次數有關。 規定》中沒有明確指出我國RFID設備應該使用的調制方式。一般情況下 UHF頻段R FID設備以ASK調制為主流 分DSB-ASK SSB-ASK和PRASK-類。理論上 對于DSB—ASK 調制的數據 信號占用的最小帶寬為數據傳輸速率的4倍;對于SSB—ASK調制的數據是3倍 對于PR—ASK調制的數據則為2倍。在ISO1 8000—6標準中TypeA和TypeB兩種類型均要求返回鏈路數據傳輸速率為40 k bit/s。根據理論推算.所需要的占用帶寬分別為80 kHz 1 20 kHz和240 kHz。對我國來說.250 kHz的占用帶寬足以滿足該數據傳輸速率的需求。
3關于發射功率的規定
《規定》第五條,關于發射功率的規定如表3所示。

表3 RFID發射功率規定
國際上其他國家和地區規定的最大發射功率如表4所示。

表4 其他國家或地區的RFID發射功率規定
對比我國和國際其他國家或地區的最大發射功率的規定,我們必須弄清楚兩個問題。一是弄清e.i.r.p與e.r.p的區別和聯系;二是弄清RFID設備讀寫距離和發射功率的關系。
e.i.r.P(Effective Isotropic Radiated Power)是指有效全向發射功率。它表示同全向天線相比,可由發射機獲得的在最大天線增益方向上的發射功率。e.r.P(Effective Radiated Power)是指有效發射功率,表示同半波偶極子天線相比的最大發射功率。兩者之間的關系是:e.i.r.p=e.r.p+2.15dB。
我國規定e.r.p最大為2W,即33dBm,假設所用天線增益為1OdBi,可以算得允許發射機端口的最大功率為:Pt=33+2.1 5-10=25.15d8m,約為330mW 。
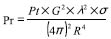
RFID設備讀寫距離與發射功率有一定聯系。理論證明,RFID讀寫器對標簽的讀取距離遵循雷達方程。即:

式(1)中,Pr為讀寫器接收功率 Pt為讀寫器發射功率,G為天線增益,λ為波長,σ為雷達散射橫截面面積,R為讀寫距離。
公式表明,RFID設備的讀寫距離與發射功率的四次方根成反比。換句話說,如果想使讀寫距離翻一番,那么就必須使發射功率在其他條件不變的情況下增為1 6倍。這就說明了利用增大發射功率的辦法提高讀寫距離是相當困難的。雖然我國規定RFID的最大發射功率與其他國家和地區相比數值比較低,但對讀寫距離的影響不會很大。
另外,從表3中可以看出,為了避免對相鄰頻段的無線電業務產生干擾,國家在兩個頻段的前后端均劃出了2個信道作為隔離信道,規定其最大有效發射功率為200mW。
4關于工作模式的規定
《規定》第六條:工作方式為跳頻擴頻方式,每跳頻最大駐留時間2秒。
跳頻擴頻工作模式的最大優點在于較強的抗干擾能力,同時有保密性強和抗多徑干擾等優點。在美國,劃分給UHF頻段的RFID頻率范圍是902 MHz~928MHz共26MHz。由于該頻段是工科醫(ISM)頻段.因而必須采取跳頻擴頻的工作模式來抗干擾。
我國劃分給RFID設備使用的920 MHz~925MHz頻段與點對點立體聲廣播傳輸業務共用,因而也采取了跳頻擴頻的措施來減少干擾。對跳頻工作模式來說如駐留時間太短,則會導致讀取標簽數據不完整,數據丟失;如駐留時間太長,則不能達到抗干擾的效果。《規定》沒有對最小駐留時間作規定 因為最小駐留時間只跟讀寫器的讀寫質量有關,所以由設備廠商自己把握。而最大駐留時間太長可能導致設備與其他共用頻段的無線電業務相互干擾,因此,《規定》限制最大駐留時間為2秒。
5結束語
《規定》的發布極大地推動了我國RFID產業的發展.但同時又為我國無線電管理部門帶來了新的挑戰。如何在一個新的無線電業務開始發展的時候,就引導它朝著正確的方向健康穩步發展是無線電管理部門應該考慮的課題。
參考文獻
[1] 《800/900MHz頻段射頻識別(RFID)技術應用規定(試行)》(信部無[2007]205號);
[2]《中國射頻識別(RFID)技術政策白皮書》 中華人民共和國科學技術部等十五部委;
[3] ISO/IEC 18000 系列標準:Information technology-Radio frequency identification for item management;
[4]宋起柱,《 RFID技術及電磁兼容研究》,國家無線電監測中心;
[5] 閔昊,關于中國RFID系統頻率規劃及與其他無線通信系統間互擾的系統仿真報告,復旦大學;
[6]朱楊荷,劉海嘯,RFID標準體系建議和重點研究問題。